-
-
-
Tổng tiền thanh toán:
-
7 TIÊU CHÍ QUAN TRỌNG ĐỂ LỰA CHỌN ỐNG THUỶ LỰC CHẤT LƯỢNG
Đăng bởi Tư vấn sản phẩm vào lúc 22/03/2021
Ống thủy lực là loại ống được gia cố dùng để truyền chất lỏng thủy lực có áp suất cao đi khắp các máy. Ống thuỷ lực được chia thành nhiều loại ống, đủ các size kích cỡ với mức chịu áp lực khác nhau.
![]()
Hình ảnh Ống thuỷ lực
Vậy làm sao để chọn được ống thuỷ lực chính xác với hệ thống thuỷ lực? Các nhà sản xuất ống thuỷ lực chính hãng đã đưa ra tiêu chuẩn chung để giúp chúng ta có thể dễ dàng lựa chọn được ống thuỷ lực đó là STAMPED. Trong đó:
S = Size: Kích thước
T = Temperature: Nhiệt độ
A = Application: Ứng dụng
M = Material to be conveyed: Vật liệu để vận chuyển lưu chất
P = Pressure: Áp suất
E = Ends or couplings: Đầu cuối ống hoặc khớp nối
D = Delivery (Volume and Velocity): Vận chuyển lưu chất (Thể tích và vận tốc lưu chất)
1. SIZE: Kích thước ống thuỷ lực (hose size)
Kích thước là yếu tố cơ bản và cần thiết nhất trong việc lựa chọn ống thủy lực. Kích thước ống thuỷ lực được thể hiện bằng đường kính trong (inside diameter ID) và đường kính ngoài (outside diameter OD).
Đường kính ống thuỷ lực
Đường kính trong của ống phải phù hợp, nếu quá nhỏ vận tốc dầu chuyển động sẽ lớn, gây ma sát nhiều và tổn thất lớn, hao hụt năng lượng truyền tải, nếu đường kính quá lớn, vận tốc dầu thuỷ lực nhỏ gây ảnh hưởng đến vận tốc của hệ thống.
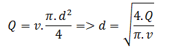
Để lựa chọn được kích thước trong của ống thuỷ lực, ta có công thức:

Trong đó:
- Q: Lưu lượng chất lỏng hay lượng chất lỏng lưu thông trên một đơn vị thời gian. Đơn vị m^3/h hay lít/phút.
- v: Vận tốc của dòng chất lỏng chuyển động trong ống, đơn vị m/s
- (π.d^2)/4: Diện tích mặt cắt ngang ống, d: đường kính bên trong của ống thuỷ lực
Giả sử hệ thống thuỷ lực cần bơm thuỷ lực với lưu lượng 50 lít /phút, áp suất làm việc max 200 bar. Vận tốc hút dầu khoảng 0.8m/s. Tính đường kính ống thuỷ lực phù hợp.
50 lít/phút = (50⁄1000)/60 (m^3/h)
Đường kính ống thuỷ lực:
![]()
2. Temperature: Nhiệt độ của ống thuỷ lực
Đối với các ống thuỷ lực cứng bằng kim loại như thép không gỉ, thép mạ đồng,…thì nhiệt độ hoạt động luôn thoả mãn. Hầu hết các ống thuỷ lực mềm từ cao su, vật liệu tổng hợp đều có dải hoạt động từ -50 độ C tới xấp xỉ 200 độ C
Cần phải lựa chọn ống thuỷ lực nằm trong khoảng nhiệt độ cho phép, nếu không, ống thuỷ lực sẽ xuất hiện vết nứt, gãy trong quá trình hoạt động.
Nhiệt độ cho phép của ống thuỷ lực các nhà sản xuất luôn cho đi cùng với sản phẩm.
3. Application: Ứng dụng hoạt động của ống thuỷ lực
Việc xác định ứng dụng ống thuỷ lực trong hoàn cảnh và môi trường như nào giúp ta chọn ống phù hợp
![]()
Ứng dụng của ống thuỷ lực
- Ống thuỷ lực được sử dụng tại vị trí nào, có cần khả năng uốn cong hay không và uốn cong đến mức nào
- Chất lỏng và môi trường xung quanh có gì cần lưu ý cho ống thuỷ lực
- Áp suất làm việc và áp suất lao động
- Khả năng tương thích của chất lỏng
- Khớp nối cố định hay khớp nối thay thế thường xuyên
- Cấu tạo của ống
- Độ mòn của ống
4. Material: Vật liệu của ống thuỷ lực
Vật liệu bên trong của ống thuỷ lực bắt buộc phải tương thích với môi chất hoạt động của hệ thống. Từng loại dầu tương thích với loại chất liệu khác nhau.
Vật liệu bên ngoài của ống phải có khả năng chịu được nhiệt độ, điều kiện môi trường tự nhiên và môi trường lắp đặt giúp tăng tuổi thọ hoạt động của ống.
5. Pressure: Áp suất hoạt động của ống thuỷ lực
Khi chọn ống thuỷ lực, áp suất làm việc của ống phải cao hơn so với áp suất làm việc của hệ thống ít nhất 120%. Áp suất phá huỷ của ống phải tính cả các sự cố tăng vọt, áp suất phá huỷ của ống hầu hết do nhà sản xuất quy định nên ta chỉ cần quan tâm đến áp suất làm việc của ống.
6. Ends or couplings: Kiểu nối đầu ống thuỷ lực
Ống thuỷ lực cứng thường khi nối với các đầu ống khác hay các phần tử khác bằng bắt bu lông mặt bích hoặc hàn cố định. Tuy nhiên, ống thuỷ lực mềm mối ghép chủ yếu bằng ren . Do đó khi lựa chọn, ta cần lưu ý kiểu kết nối, kiểu ren sao cho tương thích, nếu không sẽ gây rò rỉ dầu khi hoạt động.
![]()
Đầu nối ống thuỷ lực
7. Delivery : Vận chuyển lưu chất
Nếu hệ thống vẫn giữ như cũ thì vẫn sử dụng ống thuỷ lực có kích thước cũ. Nếu thay đổi thiết kế hệ thống thuỷ lực, cần xác định lại thể tích và vận tốc lưu chất để chọn ống thuỷ lực phù hợp.
Các sản phẩm liên quan
Công ty TNHH Vạn Đạt là đơn vị chuyên xuất nhập khẩu có hơn 20 năm kinh nghiệm trên thị trường, đi tiên phong trong 1 số lĩnh vực sản xuất và phân phối mang thương hiệu Masuka, Osina,...